資料館生薬データベース
※画像をクリックすると、拡大して表示されます。
首都、省都または行政区域代表地点(都道府県庁所在地など)を表示しています。
34.746611
113.62532799999997
産地情報
中華人民共和国,河南省鄭州市
https://ethmed.toyama-wakan.net/img/pin_san.png
34.6937249
135.5022535
入手先情報
日本(ToS),大阪府
https://ethmed.toyama-wakan.net/img/pin_nyu.png
学術情報データベース
| 一般生薬名 | 大棗, Dazao, Ziziphi Fructus (JP18), Jujubae Fructus (CP2020), Jujube (JP18), Chinese Date (CP2020) | |||||
|---|---|---|---|---|---|---|
| 生薬画像 |
| |||||
| 原植物名 | Ziziphus jujuba Miller var. inermis Rehder, ナツメ | |||||
| 原植物画像 |
| |||||
| 原植物科名 | Rhamnaceae, クロウメモドキ科 | |||||
| 薬用部位 | 果実 | |||||
| 選品 | 大粒で外面が濃赤色を呈し,種子が小さくて果肉の厚いものが良品(TN). | |||||
| 公定書 | 日局18,薬典(2020) | |||||
| 臨床応用 | 緩和,強壮,利尿,鎮痙薬として,筋肉の急迫,牽引痛,知覚過敏を緩和し,咳,煩燥,身体の疼痛,腹痛などに応用する. | |||||
| 医学体系 | 中国医学 | |||||
| 伝統医学的薬効 | 分類 | 補気薬 | ||||
| 薬効 | [性味] 甘,温. [帰経] 脾、胃、心経. [効能] 補中益気,養血安神. [主治] 脾虚食少,乏力便溏,婦人臓躁に用いる. | |||||
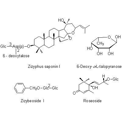
| 成分情報 | その他の脂肪族関連化合物 Other aliphatic and related compounds (*C1): Malic acid, Tartaric acid 糖質 Sugar (*C1): D-Fructose, D-Glucose トリテルペノイド Triterpenoids (*C1): Oleanonic acid, Oleanolic acid, Maslinic acid およびその 3-p-Coumaroylate 類, Betulonic acid, Betulinic acid, Alphitolic acid およびその 2-,3-p-Coumaroylate 類, Ursolic acid トリテルペン系サポニン Triterpenoid saponins (*C1): Zizyphus saponin I, Zizyphus saponin II, Zizyphus saponin III, Jujuboside A, Jujuboside B フラボンとフラボノール Flavones & Flavonols (*C1): Rutin フラバノンとジヒドロフラボノール Flavanones & Dihydroflavonols (*C1): 6,8-Diglucosyl-2 (S et R)-naringenin クマリン類 Coumarins (*C1): Scopoletin その他の芳香族誘導体 Other aromatic derivatives (*C1): Zizybeoside I, Zizybeoside II, Vomifoliol, Roseoside, Zizyvoside I, Zizyvoside II プリン誘導体 Purine derivatives (*C1): cyclic AMP その他 Others (*C1): 粘液質 | |||||
| 成分 構造式 |
※画像をクリックすると、拡大して表示されます。 | |||||
| 薬理作用 | ストレス性胃潰瘍抑制(メタノールエキス).抗アレルギー(アルコールエキス). | |||||
| DNA配列 | AF279272, AF048974, AF049848; 伝統医薬データベース. | |||||
| 証類本草(中国古典) | ※画像をクリックすると本文の画像が表示されます | |||||
| 適応症 | 倦怠感, 食欲不振, 泥状水様便, 不安感, 不眠, 驚きやすい, 咳嗽, 腹痛, 身体痛 | |||||
| 方剤 | 医王湯, 異功散, 胃苓湯, 烏頭桂枝湯, 温胆湯, 越婢湯, 越婢湯, 越婢加朮湯, 越婢加半夏湯, 黄耆桂枝五物湯, 黄耆建中湯, 黄芩湯, 黄芩加半夏生姜湯, 黄連湯, 解急蜀椒湯, 加減八物湯, 化食養脾湯, 藿香正気散, 葛根湯, 葛根加苓朮附湯, 葛根湯加辛夷川芎湯, 加味帰脾湯, 加味八仙湯, 加味平胃散, 栝楼桂枝湯, 甘草瀉心湯, 甘麦大棗湯, 帰耆建中湯, 橘皮竹茹湯, 帰脾湯, 芎帰調血飲, 救逆湯, 近郊方朮附湯, 桂姜棗草黄辛附湯, 桂枝湯, 桂枝加黄耆湯, 桂枝加葛根湯, 桂枝加桂湯, 桂枝加厚朴杏仁湯, 桂枝加芍薬湯, 桂枝加芍薬生姜人参湯, 桂枝加芍薬大黄湯, 桂枝加朮附湯, 桂枝加大黄湯, 桂枝加附子湯, 桂枝加龍骨牡蠣湯, 桂枝加苓朮附湯, 桂枝去桂加茯苓白朮湯, 桂枝去芍薬湯, 桂枝去芍薬加蜀漆龍骨牡蠣救逆湯, 桂枝去芍薬加麻黄附子細辛湯, 桂枝桃仁湯, 桂枝二越婢一湯, 桂枝二越婢一湯加苓朮附, 桂枝二麻黄一湯, 桂枝附子湯, 桂枝麻黄各半湯, 啓脾湯, 香砂平胃散, 香砂六君子湯, 合壁飲, 厚朴七物湯, 五積散, 呉茱萸湯, 柴陥湯, 柴胡加芒硝湯, 柴胡加龍骨牡蠣湯, 柴胡去半夏加栝楼湯, 柴胡桂枝湯, 柴胡四物湯, 柴胡養栄湯, 柴芍六君子湯, 柴朴湯, 柴苓湯, 四君子湯, 炙甘草湯, 春林赫石脂湯, 生姜甘草湯, 生姜瀉心湯, 小建中湯, 小柴胡湯, 小柴胡湯加黄連茯苓, 小柴胡湯加桔梗石膏, 小柴胡合半夏厚朴湯, 椒梅瀉心湯, 参蘇飲, 清肺湯, 旋覆花代赭石湯, 蘇子降気湯, 大柴胡湯, 大青竜湯, 大防風湯, 断痢湯, 竹葉湯, 中建中湯, 当帰建中湯, 当帰四逆湯, 当帰四逆加呉茱萸生姜湯, 独活葛根湯, 排膿湯, 排膿散及湯, 麦門冬湯, 八物湯, 八珍湯, 半夏厚朴七物湯, 半夏瀉心湯, 白朮附子湯, 不換金正気散料, 茯苓桂枝甘草大棗湯, 附子粳米湯, 分消湯, 平胃散, 防已散, 防已黄耆湯, 補中益気湯, 補肺湯, 麻黄連軺赤小豆湯, 味麦益気湯, 射干麻黄湯, 六君子湯, 良枳湯, 苓桂甘棗湯, 六物黄芩湯, 香砂養胃湯 | |||||
広恵済急方(日本古典) Tips! | 6. 諸物中毒: 諸毒にあたる類 └ 6-2. 中諸穀菜毒: 穀類や野菜の毒にあたる └ 中山椒毒: 山椒の毒に中(あたり)、咽戟(のどいらつき)むせ、気閉じ或は白沫(しろきあわ)を下し、身体冷え、痺れ絶入んとする 【用法】大棗三枚(つ)許喫(くらい)てよし <下巻48丁> | |||||
| 関連情報 | 新訂和漢薬 | |||||
| 同類生薬 | 酸棗仁 | |||||
| 参考文献 | JP18: 第18改正日本薬局方. CP2020: 中華人民共和国薬典 (2020年版) . C1) 和漢薬百科図鑑 Vol. I, pp 188-189. L1) 官準 広恵済急方 L2) 近世歴史資料集成第2期 (第9巻) 民間治療(2) L3) 新訂 和漢薬 | |||||
| 更新日 | 2021/09/27 | |||||











